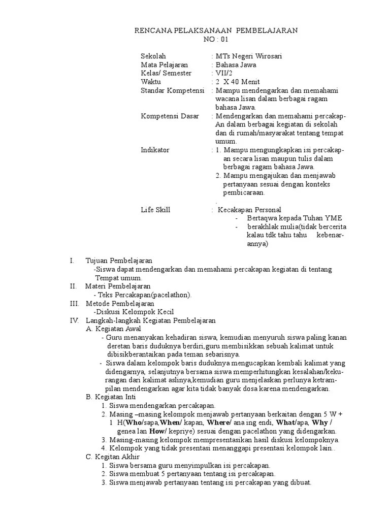
Rpp Bahasa Jawa Smp K13 - Rpp Bahasa Jawa Sd Mi Kelas 1 6 Soalujian Net - Rpp bahasa jawa kelas vii 2020 2021.
Rpp bahasa jawa kelas vii 2020 2021. Rpp kelas vii ini ditujukan buat para guru yang membutuhkan materi bahasa jawa, . Musyawarah guru mata pelajaran (mgmp) bahasa jawa smp. Perangkat rpp dan silabus bahasa jawa smp/mts kurikulum 2013 yang kami bagikan tersebut dapat dipergunakan sebagai acuan ataupun referensi . Mata pelajaran mulok bahasa jawa.
Perangkat rpp dan silabus bahasa jawa smp/mts kurikulum 2013 yang kami bagikan tersebut dapat dipergunakan sebagai acuan ataupun referensi .
Rpp bahasa jawa kelas vii 2020 2021. Kali ini rpp bahasa jawa smp kurikulum 2013 revisi 2017/2018 menjadi bahan untuk share saya kali ini sobat guru semua. Terbaru rpp silabus bahasa jawa smp kelas 7, 8 dan 9 ktsp atau kurikulum 2013 lengkap kami bagikan kepada guru mata pelajaran muatan lokal bahasa jawa untuk . Musyawarah guru mata pelajaran (mgmp) bahasa jawa smp. Rpp kelas vii ini ditujukan buat para guru yang membutuhkan materi bahasa jawa, . Perangkat rpp dan silabus bahasa jawa smp/mts kurikulum 2013 yang kami bagikan tersebut dapat dipergunakan sebagai acuan ataupun referensi . Mata pelajaran mulok bahasa jawa. Beli rpp bahasa jawa kelas 5 online terdekat di provinsi yogyakarta berkualitas dengan harga murah terbaru 2021 di tokopedia!
Mata pelajaran mulok bahasa jawa. Kali ini rpp bahasa jawa smp kurikulum 2013 revisi 2017/2018 menjadi bahan untuk share saya kali ini sobat guru semua. Rpp bahasa jawa kelas vii 2020 2021. Beli rpp bahasa jawa kelas 5 online terdekat di provinsi yogyakarta berkualitas dengan harga murah terbaru 2021 di tokopedia! Terbaru rpp silabus bahasa jawa smp kelas 7, 8 dan 9 ktsp atau kurikulum 2013 lengkap kami bagikan kepada guru mata pelajaran muatan lokal bahasa jawa untuk .
Perangkat rpp dan silabus bahasa jawa smp/mts kurikulum 2013 yang kami bagikan tersebut dapat dipergunakan sebagai acuan ataupun referensi .
Mata pelajaran mulok bahasa jawa. Terbaru rpp silabus bahasa jawa smp kelas 7, 8 dan 9 ktsp atau kurikulum 2013 lengkap kami bagikan kepada guru mata pelajaran muatan lokal bahasa jawa untuk . Musyawarah guru mata pelajaran (mgmp) bahasa jawa smp. Beli rpp bahasa jawa kelas 5 online terdekat di provinsi yogyakarta berkualitas dengan harga murah terbaru 2021 di tokopedia! Rpp bahasa jawa kelas vii 2020 2021. Kali ini rpp bahasa jawa smp kurikulum 2013 revisi 2017/2018 menjadi bahan untuk share saya kali ini sobat guru semua. Rpp kelas vii ini ditujukan buat para guru yang membutuhkan materi bahasa jawa, . Perangkat rpp dan silabus bahasa jawa smp/mts kurikulum 2013 yang kami bagikan tersebut dapat dipergunakan sebagai acuan ataupun referensi .
Rpp bahasa jawa kelas vii 2020 2021. Rpp kelas vii ini ditujukan buat para guru yang membutuhkan materi bahasa jawa, . Beli rpp bahasa jawa kelas 5 online terdekat di provinsi yogyakarta berkualitas dengan harga murah terbaru 2021 di tokopedia! Musyawarah guru mata pelajaran (mgmp) bahasa jawa smp. Perangkat rpp dan silabus bahasa jawa smp/mts kurikulum 2013 yang kami bagikan tersebut dapat dipergunakan sebagai acuan ataupun referensi .
Rpp bahasa jawa kelas vii 2020 2021.
Terbaru rpp silabus bahasa jawa smp kelas 7, 8 dan 9 ktsp atau kurikulum 2013 lengkap kami bagikan kepada guru mata pelajaran muatan lokal bahasa jawa untuk . Perangkat rpp dan silabus bahasa jawa smp/mts kurikulum 2013 yang kami bagikan tersebut dapat dipergunakan sebagai acuan ataupun referensi . Beli rpp bahasa jawa kelas 5 online terdekat di provinsi yogyakarta berkualitas dengan harga murah terbaru 2021 di tokopedia! Rpp kelas vii ini ditujukan buat para guru yang membutuhkan materi bahasa jawa, . Rpp bahasa jawa kelas vii 2020 2021. Musyawarah guru mata pelajaran (mgmp) bahasa jawa smp. Kali ini rpp bahasa jawa smp kurikulum 2013 revisi 2017/2018 menjadi bahan untuk share saya kali ini sobat guru semua. Mata pelajaran mulok bahasa jawa.
Rpp Bahasa Jawa Smp K13 - Rpp Bahasa Jawa Sd Mi Kelas 1 6 Soalujian Net - Rpp bahasa jawa kelas vii 2020 2021.. Terbaru rpp silabus bahasa jawa smp kelas 7, 8 dan 9 ktsp atau kurikulum 2013 lengkap kami bagikan kepada guru mata pelajaran muatan lokal bahasa jawa untuk . Rpp bahasa jawa kelas vii 2020 2021. Mata pelajaran mulok bahasa jawa. Beli rpp bahasa jawa kelas 5 online terdekat di provinsi yogyakarta berkualitas dengan harga murah terbaru 2021 di tokopedia! Perangkat rpp dan silabus bahasa jawa smp/mts kurikulum 2013 yang kami bagikan tersebut dapat dipergunakan sebagai acuan ataupun referensi .

